Sie sind hier: Startseite / Informationen / Unterricht / Fächer / Mathematik / EF Anwendungen der Mathematik

Artikelaktionen

EF Anwendungen der Mathematik

Die Mathematik durchdringt mehr und mehr unser Leben. Heute ist fast jeder Mensch direkt oder indirekt von ihr betroffen. Wegen ihrer breiten Anwendbarkeit zählt die Mathematik in den unterschiedlichsten Gebieten zu den nützlichen, ja unabdingbaren Voraussetzungen. Dies äussert sich darin, dass z.B. an der Universität Basel für alle naturwissenschaftlichen Studienrichtungen wie Biologie, Chemie, Geowissenschaften, Nanowissenschaften und Pharmazie die zweisemestrige Vorlesung "Mathematik für Naturwissenschafter:innen" mit 4 Lektionen pro Woche und einer dreistündigen Schlussprüfung obligatorisch ist. Auch in vielen anderen Studienrichtungen werden mehr als die Grundlagenfach-Mathematikkenntnisse vorausgesetzt. 

Dieses Ergänzungsfach wendet sich deshalb an junge Leute, die ganz allgemein vielseitig interessiert sind und sich zudem optimal auf ein naturwissenschaftliches oder technisches Studium vorbereiten möchten. 

Ziele 
Sie haben im Ergänzungsfach «Anwendungen der Mathematik» die Gelegenheit, Ihre Grundfertigkeiten in der Mathematik (Algebra) auszubauen und zu vertiefen. 
Sie werden mit ergänzenden Lerninhalten aus der Mathematik, die für das Studium der Natur-, Ingenieur- und Wirtschaftswissenschaften wichtig sind, vertraut gemacht. Sie sind dann auf die zu Beginn Ihres Studiums zu erwartenden Mathematikvorlesungen optimal vorbereitet. Sie erlernen mathematische Techniken, auch darstellender Art, mit dem Computer und wenden diese an. 

Beispiele zum Inhalt des Ergänzungsfachs «Anwendungen der Mathematik»: 

 

Komplexe Zahlen
Ausgehend von den natürlichen, über die ganzen und die rationalen Zahlen, bis zu den reellen Zahlen hat sich der Zahlbereich über die Zeit und ihrer Schullaufbahn laufend erweitert. Mit dem Schritt zu den komplexen Zahlen findet dieser Prozess ein vorläufiges Ende.
Im Ergänzungsfach lernen Sie mit komplexen Zahlen in verschiedenen Darstellungsformen zu rechnen und Probleme zu lösen

Bild Legende:

Lineare Algebra und Umgang mit Matrizen

Die Matrix ist nicht nur ein Hollywood-Film, sondern in der Mathematik ein Objekt mit den linearen Abbildungen, Gleichungssysteme, wirtschaftliche Produktionsprozesse, Vererbungsvorgänge und ähnliches beschrieben werden kann.
Im Ergänzungsfach lernen Sie mit Matrizen zu rechnen und ihre geometrische Bedeutung zu verstehen. 

Bild Legende:

Differentialgleichungen
In den modernen Naturwissenschaften werden die meisten Prozesse durch Differentialgleichungen beschrieben.
An ausgesuchten Beispielen lernen Sie, wie solche Differentialgleichungen aufgestellt werden und Lösungsmethoden für ausgewählte Kategorien von Differentialgleichungen. Zudem werden Sie numerische Verfahren kennenlernen, mit denen schwierigere Differentialgleichungen annäherungsweise gelöst werden können. Solche Methoden kommen in der Praxis tatsächlich zum Einsatz, beispielsweise um Wetterprognosen herzustellen. 

Bild Legende:

Höhere Analysis
Kurven als Graphen von Funktionen sind im Grundlagenfach allgegenwärtig. Andere ebene Kurven, wie beispielsweise Spiralen, oder räumliche Kurven, wie die Schraubenlinien (Helices), welche man in Form der Doppelhelix der DNA aus der Biochemie kennt, benötigen andere Darstellungsformen, welche im Ergänzungsfach besprochen werden. Solche Kurven können mit ähnlichen Methoden wie im Grundlagenfach untersucht werden.

Bild Legende:

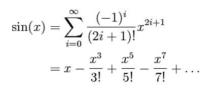
Reihenentwicklung von Funktionen
Der Taschenrechner und der Computer sind offensichtlich in der Lage den Wert von sin(22°) anzugeben. Nur, wie machen die das? Dahinter stehen Reihenentwicklungen von Funktionen. Wenn man es geschickt anstellt, kann man fast jede Funktion durch ein Polynom approximieren.
Im Ergänzungsfach werden Möglichkeit besprochen, wie gegebene Funktionen durch einfachere approximiert werden können und wie vorausgesagt werden kann, wie gut solche Approximationen sind.

Bild Legende:

Zahlentheorie
Ursprünglich ist die Zahlentheorie ein Teilgebiet der Mathematik, welches sich allgemein mit den Eigenschaften der ganzen Zahlen und insbesondere mit den Lösungen von Gleichungen in den ganzen Zahlen (Diophantische Gleichung) beschäftigt. Aus moderner Sicht umfasst sie alle mathematischen Theorien, die sich historisch aus diesen Fragestellungen entwickelt haben.
Anwendungen der Zahlentheorie finden sich in der Kryptographie, insbesondere bei der Frage nach der Sicherheit der Datenübertragung im Internet. Hierbei finden sowohl elementare Methoden der Zahlentheorie (Primfaktorzerlegung, etwa bei RSA oder ElGamal), als auch fortgeschrittene Methoden der algebraischen Zahlentheorie, wie etwa die Verschlüsselung über elliptische Kurven (ECC) breite Anwendung

Bild Legende:

Sollten Sie Fragen zum Ergänzungsfach Anwendungen der Mathematik haben, so richten Sie diese an die Fachschaften Mathematik der Gymnasien Bäumlihof (philippe.meili@edubs.choder Münsterplatz (bruno.huemmer@edubs.ch).

Bild Legende: